

Strumień energii PUR
Jest to suma energii światła (wyrażona w mega dżulach) pochłoniętego przez fitoplankton w całej kolumnie wody pod powierzchnią 1 metra kwadratowego w ciągu doby. Energia światła jest absorbowana przez wszystkie pigmenty (fotosyntetyzujące i fotoochronne) zawarte w komórkach fitoplanktonu zawieszonych w toni wodnej. Część tej energii jest przekształcana na energię chemiczną w procesie fotosyntezy materii organicznej zachodzącym w tych komórkach. Pozostała część tej pochłoniętej energii jest częściowo zamieniana na ciepło wydzielane z komórki do otoczenia a reszta wypromieniowuje z komórki w postaci światła w procesie luminescencji (tj. głównie luminescencji chlorofilu a). Definicja energii PUR (Woźniak, 2008): $$PUR(z,t)= \int_{400nm}^{700nm}E_{0} (\lambda,z,t) a_{pl} (\lambda,z,t) d\lambda$$ gdzie $$E_0 (\lambda, z, t)$$– widmo oświetlenia skalarnego na głębokości z $$a_{pl} (\lambda, z, t)$$– widmo współczynnika absorpcji światła przez fitoplankton na głębokości z $$\lambda$$ - długość fali światła [nm] $$z$$ – głębokość [m] $$t$$ - czas [s] Dobową dozę energii PUR otrzymuje się całkując wartości energii PUR po głębokości (od powierzchni do 1.5 głębokości warstwy eufotycznej) i po czasie (24 godziny).
Metodyka
Energia PUR wyznaczana jest za pomocą algorytmu DESAMBEM (Woźniak et al., 2008). Danymi wejściowymi do tego modelu są: doza promieniowania PAR oraz stężenie chlorofilu a na powierzchni morza Ca(0). Przy pomocy algorytmu DESAMBEM wyznaczane są pola światła w toni wodnej , które pozwalają określić oświetlenie na poszczególnych głębokościach, wyliczane są również pionowe profile koncentracji pigmentów fotosyntetycznych i fotoochronnych fitoplanktonu (Majchrowski i in.,2007 ) oraz spektralne współczynniki absorpcji światła przez fitoplankton na tych samych głębokościach (Ficek i in. 2004). Wielkości te pozwalają wyznaczyć dobową dozę energii PUR.
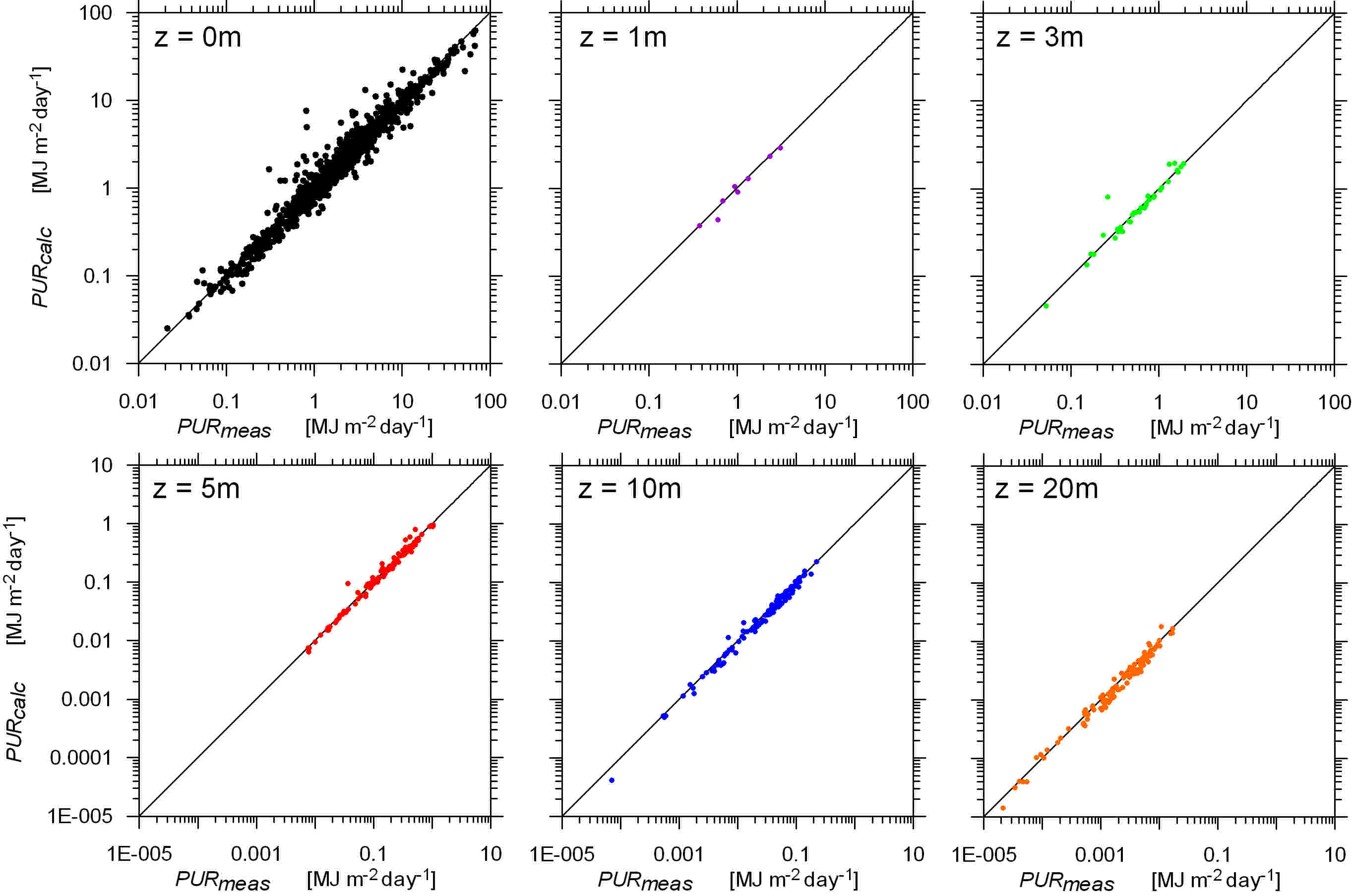
Rys.1 Porównanie empirycznych PURmeas i modelowych PURcalc strumieni energii PUR na różnych głębokościach z w warstwie eufotycznej Bałtyku. Wartości strumienia PURmeas zmierzono podczas rejsów naukowych w latach 2010-2014, a wartości strumienia PURcalc zostały wyznaczone przy użyciu algorytmu DESAMBEM – jedną z danych wejściowych było stężenie chlorofilu a na powierzchni określone za pomocą pomiaru ze statku.Walidacja
Walidację strumienia energii PUR przeprowadzono dla powierzchni i dla wybranych głębokości w Bałtyku. Pomiary obejmujące 1122 komplety danych powierzchniowych pozwalających wyznaczyć strumień energii PUR obejmujących pomiary spektralnego współczynnika absorpcji światła przez fitoplankton aph oraz energii PAR na powierzchni i na głębokościach na których wyznaczano energię PUR oraz 132 komplety danych odnoszących się do profili głębokościowych przeprowadzono w okresie 2010-2014 podczas rejsów naukowych głównie w południowym rejonie Bałtyku. Standardowy czynnik błędu x (patrz tabela poniżej) charakteryzujący metodę wyznaczania strumienia PUR czyli strumienia energii zaabsorbowanej przez algi jest stosunkowo mały i zmienia się od 1,295 na powierzchni do 1,153 na głębokości 10 m. Można przyjąć, że standardowy czynnik błędu x dla strumienia PUR w całym słupie wody nie przekracza wartości 1,295 czyli błąd statystyczny wynosi od σ- = -22,8% do σ+ =29,5%.
Tabela 1. Błędy systematyczne i statystyczne estymowanych wartości strumienia PUR na wybranych głębokościach z w Bałtyku w statystyce arytmetycznej i logarytmicznej w przypadku użycia jako danej wejściowej do algorytmu DESAMBEM stężenia chlorofilu a na powierzchni zmierzonego z burty statku. N oznacza ilość estymowanych wartości na danej głębokości.

|
Powstańców Warszawy 55 81-712 Sopot, Poland |
|
Napisz do nas: |